Existem alguns logaritmos cujo resultado é muito conhecido, devido as consequências que a definição dessa operação impõe. Quer facilitar seu trabalho na hora de resolver alguns logaritmos? Então, esse texto é para você!
Olá pessoal! Como vão?
Algumas configurações de logaritmos podem ser facilmente resolvidas quando conhecemos bem a definição e as condições de existência dessa operação. São as consequências da definição dos logaritmos, por isso nós vamos estudá-las uma a uma nesse texto. Conhecer cada uma delas é de extrema importância para os seus estudos, pois o assunto costuma ser muito cobrado, direta ou indiretamente, nas provas do ENEM e dos vestibulares!
Por acaso vocês conhecem a plataforma do Professor Ferretto? Ela dispõe de um módulo exclusivo que trata do estudo dos logaritmos, além de outros 22 módulos que abordam todo o conteúdo de matemática do ensino médio. E se o objetivo de vocês é gabaritar a matemática do ENEM ou do vestibular, fica mais fácil por lá, pois é possível montar um plano de estudos com foco na prova que irão realizar! Acessem o site e confiram todas as formas de aprofundar o conhecimento!
Bom, se nós vamos abordar as consequências de uma definição, então precisamos conhecer bem a definição de que estamos tratando, não é? Observem o quadro abaixo com atenção:

Da maneira como o logaritmo é definido neste quadro, nós podemos dizer que o termo a é a sua base, o termo b o seu logaritmando e x o logaritmo ou o resultado da operação. Ainda, temos que lembrar de algumas restrições que os valores de a e b possuem. A base a deve ser sempre um valor maior que zero e diferente de 1, enquanto que o logaritmando b deve ser necessariamente um valor maior que zero. Assim, através do processo de logaritmação, nós podemos dizer que a base a elevada ao expoente x resulta no valor de b, o logaritmando.
Antes de continuarmos, aqui vai uma dica bem importante: se todas as informações que acabamos de revisar não ficaram tão claras para vocês, não deixem de dar uma olhadinha no texto Introdução aos Logaritmos. Lá vocês encontram tudo sobre a nomenclatura dos termos dos logaritmos e sobre a sua definição. Agora se o problema for a resolução dos logaritmos em si, não deixem de conferir o texto Aplicando a Logaritmação. Lá são resolvidos detalhadamente inúmeros exercícios para vocês não terem dúvidas quando precisarem aplicar esse conhecimento!
Certo pessoal!? Agora que já relembramos a definição dos logaritmos, vamos as suas consequências. Vou mostrar cada uma delas a vocês, sempre deixando claro de onde foi que todos os raciocínios foram retirados.

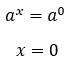
O logaritmo da unidade, em uma certa base a, é sempre igual a zero.
Assim, podemos concluir que quando o logaritmando de um certo logaritmo for igual a 1, seja qual for o valor da base a, que esteja, é claro, de acordo com as restrições (0 < a ≠ 1), o resultado será zero. Querem saber porquê? Vamos supor que o resultado do logaritmo de 1 na base a seja um certo valor x.
![]()
Nosso dever agora é resolver esse logaritmo. Utilizaremos as setinhas para levar o logaritmo a sua forma exponencial. Uma vez que isso é alcançado, buscaremos uma maneira de obter uma igualdade de potências de mesma base, do jeitinho que aprendemos no texto Equação Exponencial. Tudo isso é feito para que possamos trabalhar apenas com os expoentes, igualando-os, vejam só:

Chegamos a nossa equação exponencial, não é? Mas como fazer com que o número 1 seja reescrito como uma potência de base a? O fato é que nesse caso, devemos lembrar que qualquer número elevado ao expoente zero é igual a 1. Bom, se qualquer número elevado a zero resulta em 1, a elevado a zero também resulta em 1, e, portanto, temos que:

Tranquilo não é? Vamos a mais uma consequência da definição dos logaritmos!

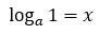
Se em um logaritmo, o valor do logaritmando for exatamente igual ao valor da base, então o seu resultado será sempre um.
Assim, sempre que observarmos um logaritmo cuja base e logaritmando possuírem o mesmo valor, e reforço novamente, estando esse valor de acordo com as restrições (0 < a ≠ 1), não é necessário se preocupar com a resolução, o resultado é com toda a certeza a unidade, 1. Para entendermos como isso é possível, iremos supor, novamente, que o resultado do logaritmo de a na base a será x e iremos resolver a operação:

Chegamos a uma igualdade de potências de mesma base, restando-nos igualar os expoentes e trabalhar apenas com eles. Aí vocês poderiam perguntar: mas onde está o expoente de uma das bases a? É só lembrar do seguinte: quando um expoente não aparece, significa que ele vale 1, e desta forma nós concluímos que:
![]()

Se o expoente de uma potência for um logaritmo, e o valor da base desse logaritmo for igual ao da base da potência, então o resultado será o próprio logaritmando.
Ficou difícil de imaginar que dedução poderia levar a essa conclusão, não é? A verdade é que tudo partiu de uma igualdade de logaritmos, que quando submetidos a logaritmação, resultam no que acabamos de aprender. Vou mostrar para vocês como isso é possível:

Quanto a dedução, podemos dizer que é bem simples, certo? Mas como memorizar todos esses detalhes na hora de aplicar essa consequência? Simples também! Se liguem nessa dica que vou mostrar agora utilizando alguns exemplos.

![]()
Reparem que em ambos os logaritmos apresentados acima, o valor da base da potência é igual ao valor da base do logaritmo. Neste caso, nós podemos cortar ou cancelar, o valor da base da potência com o logaritmo e sua base, e nos restará apenas o logaritmando, vejam só:

É claro pessoal que matematicamente, esse cancelamento não faz sentido algum. Isso é apenas uma técnica que utilizamos para lembrar que em casos como esse, o resultado é o próprio logaritmando do logaritmo.

Quando houver uma igualdade de logaritmos de mesma base, é possível trabalhar apenas com os logaritmandos, igualando-os.
Para que essa quarta consequência fique um pouco mais clara, vamos resolver um exercício:
Calcule o valor de x tal que log2 (x – 3) = log2 3.
Pessoal, reparem que esse é justamente um caso onde temos uma igualdade de logaritmos de mesma base. De acordo com a consequência que acabamos de aprender, quando isso acontecer podemos trabalhar apenas com os logaritmandos, igualando-os, vejam só:

Bom, chegou o momento em que vamos aplicar tudo que vimos até agora através de alguns exercícios. Vem comigo aqui!
Calcule o valor de:
![]()
O primeiro detalhe que precisamos reparar aqui, é que existe um logaritmo no expoente de uma potência. Sendo assim, em que consequência da definição dos logaritmos essa questão poderia se encaixar? Na terceira, é claro! Assim, para resolver o caso, devemos trabalhar para fazer com que o valor da base da potência seja igual ao da base do logaritmo. Ora, 16 = 24. Então podemos substituir esse valor no cálculo:

Vejam como o cálculo que acabamos de fazer ficou extremamente simples quando fizemos uso de uma das consequências da definição, além de algumas propriedades da potenciação e dos logaritmos. Se nós tivermos conhecimento sobre esses três fatores, nenhuma questão poderá nos deter! Vamos confirmar isso resolvendo mais um exercício.
![]()
Novamente encontramos uma potência, e no seu expoente temos a presença de um logaritmo. É claro que a única consequência da definição que se encaixa ao caso é a 3ª que estudamos, mas reparem que dessa vez encontramos também uma soma no expoente da potência. Para resolver esse impasse, primeiramente faremos o uso de mais uma propriedade da potenciação, olhem só:

Agora, para finalizarmos o texto com chave de ouro, vamos avaliar algumas sentenças e verificar se elas são verdadeiras ou falsas.

E assim concluímos mais um texto! Espero que ele tenha sido muito proveitoso para os seus estudos, e que agora seja mais fácil de memorizar todas essas regrinhas, que podem nos poupar um grande trabalho. Em anexo, é claro, temos o vídeo desse conteúdo. Deem uma olhadinha nele, lá vocês acompanharão outros exemplos e uma abordagem que complementa esse texto.
Um abração! Tenham ótimos estudos em matemática, e até logo!