Inserir uma série de termos entre dois números dados, com o intuito de formar uma PG, nada mais é do que interpolar meios geométricos! Acesse o texto e entenda tudo sobre o assunto!
Olá pessoal, tudo certo?
Estudar as sequências numéricas é mesmo tão interessante que lá vamos nós de novo! No texto de hoje, vamos aprender como é possível interpolar meios geométricos, que em outras palavras, significa inserir uma série de termos entre dois números dados, de forma que a sequência gerada seja uma progressão geométrica. E olhem só que legal a notícia que eu vou dar agora: caso vocês já saibam como interpolar meios aritméticos, será ainda mais fácil entender e utilizar os conceitos que veremos em breve!
Mas se você é alguém que estuda muito, e mesmo assim não consegue entender a matemática facilmente, algumas coisas podem estar erradas. Ou o seu método de estudo não é aquele que lhe proporciona o maior rendimento, ou então as suas fontes de estudo não estão te mostrando os conteúdos de forma didática. A matemática é simples pessoal, e é isso que o Professor Ferretto apresenta para vocês na sua plataforma!
Só lá vocês encontram um curso de matemática completo, que prioriza o real aprendizado do aluno, através de videoaulas, exercícios do ENEM e dos vestibulares resolvidos em vídeo, simulados semanais, e mais uma série de benefícios! No plano diamante, é possível inclusive tirar todas as dúvidas com monitores treinados. Sejam alunos do Professor Ferretto! Acessem o site, e saibam como garantir um acesso a plataforma!
Depois dessa breve introdução, nada mais justo do que iniciarmos os estudos, não é mesmo? Por isso eu já vou logo perguntando: vocês realmente entenderam o que significa “inserir uma série de termos entre dois números dados”? Então observem com atenção a sequência abaixo:
(1, ___, ___, ___, 81)
Vejam que realmente dois números desta sequência nos foram dados, mais precisamente o primeiro, 1, e o último, 81. Podemos ver também, que existem 3 espaços entre eles, o que sugere que poderíamos inserir ali outros 3 números. Mas se colocássemos nesses espaços 3 quaisquer termos aleatórios, a sequência formada continuaria sendo uma sequência qualquer, sem nenhuma definição. Portanto, se realmente desejarmos interpolar meios geométricos ali, nós precisaremos ter certeza que esses 3 números ou valores formam, junto com os termos já existentes, uma PG. E agora, quando uma sequência numérica pode ser considerada uma progressão geométrica?
Uma PG é uma sequência em que cada termo, a partir do segundo, é o produto do anterior por uma constante q dada.

Claro, uma progressão geométrica é formada quando todos os seus termos estão relacionados por uma razão, que representamos por q. Então, se a definição nos diz que qualquer termo de uma PG, a partir do segundo, pode ser obtido através do produto do termo anterior pela razão q, parece lógico que qualquer termo que não for o último da sequência, também possa ser obtido pelo quociente entre o seu termo sucessor e a razão q, como mostra o quadro acima.

Mas é claro que a definição da PG não poderia se restringir apenas a dois termos consecutivos ou sucessivos de uma sequência. É por esse motivo que existe a fórmula do termo geral de uma progressão geométrica, que nos permite encontrar o valor numérico de qualquer um dos termos de uma PG, quando se conhece o valor de algum outro termo da sequência, que não necessariamente o primeiro, e a sua razão q.

E aí pessoal, conseguiram compreender direitinho a fórmula acima? Caso os índices n e k estejam causando confusão, mantenham a calma, porque eu vou explicar isso melhor. Digamos que vocês estejam à procura do valor numérico do 8º termo de uma PG qualquer, o a8, mas vocês só conhecem o valor do termo a2 e da razão q dessa progressão. Nesse caso, a8 será o an, enquanto a2 será o ak, e o expoente da razão q será a diferença entre os índices: 8 – 2 = 6.

E se a ideia ainda ficar confusa, lhes apresento uma segunda possibilidade: experimentem desenhar a sequência desejada, e contar quantos saltos a razão q dá rumo ao termo que se procura. O número de saltos encontrado será exatamente igual ao valor do expoente da razão q. Mas aí tem mais um detalhe importante: como estamos caminhando para a direita na sequência, o termo a8 será igual ao produto do termo a2 pela razão q elevada ao seu respectivo expoente.

Compreendido pessoal? Agora, digamos que vocês desejem encontrar o 3º termo de uma PG qualquer, o a3, conhecendo apenas o 7º termo dessa sequência, o a7, e a sua razão q. Novamente existem duas maneiras de se chegar a uma equação que represente o caso. A primeira delas, consiste em utilizar puramente a fórmula do termo geral da PG, onde o a3, será o an, porque ele é o termo que estamos procurando, enquanto o a7 será o ak. Novamente, o expoente da razão será dado pela diferença entre os índices: 3 – 7 = –4.

Aí fica a pergunta: pode haver um expoente negativo? A resposta é que pode sim pessoal, e isso vai ficar mais claro agora que veremos a segunda maneira de se chegar a essa equação. Desenhando a sequência, vocês verão que dessa vez nós estamos caminhando para a esquerda rumo ao termo que desejamos encontrar. Isso significa que o termo a3 será igual ao quociente do termo a7 pela razão q, quando esta é elevada ao expoente dado pelo número de saltos que a razão dá, olhem só:

É claro que uma expressão é exatamente igual a outra, devido a uma das propriedades da potenciação. Ela nos informa que um expoente negativo pode se tornar positivo, desde que a sua base seja invertida, ou seja:


Pessoal, nós vimos que para uma sequência ser considerada uma progressão geométrica, deve haver uma razão q que relacione todos os seus termos. Por isso, para que seja possível interpolar meios geométricos, a gente deve, sem dúvida alguma, encontrar a razão q que envolve a sequência desejada. E que fórmula seria melhor do que a do termo geral de uma PG para encontrar a razão q de uma sequência com base no seu primeiro e no seu último termo? É por esse motivo que dei bastante importância à fórmula!
(1, ___, ___, ___, 81)
(a1, a2, a3, a4, a5)
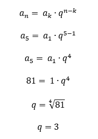
Agora que já sabemos que precisamos usar a fórmula do termo geral da PG para descobrir a razão q da sequência, devemos entender como utilizá-la direitinho. Sabem por quê? Porque é claro que o primeiro termo da sequência sempre será o a1, mas e quanto ao índice do último termo? A verdade é que o índice do último, ou do enésimo termo da PG formada, o an, dependerá sempre do número total de termos da progressão, o n, que por sua vez, também depende do número de meios geométricos que se deseja interpolar. Então pessoal, lembrem sempre do seguinte: o número de termos da PG formada, será dado pelo número de termos que se deseja interpolar, mais dois, já que sempre conhecemos o primeiro e o último termo da sequência.

Sabendo que o último termo da nossa sequência exemplo é o a5, já é possível determinar, através da fórmula do termo geral da PG, que ele será dado pelo produto entre o primeiro termo, a1, e a razão q, quando esta é elevada ao expoente dado pela diferença entre os índices dos termos: 5 – 1 = 4.

De posse da razão q, é possível encontrar os 3 meios geométricos que juntamente ao primeiro, e ao último termo já conhecidos, formarão uma progressão geométrica. Para fazer isso, basta ir multiplicando, a partir de a1, cada um dos termos pela razão q = 3.

Bem tranquilo no fim das contas, não é? Então chega de teoria e vamos logo aplicar tudo o que estudamos nesse texto. Vem comigo aqui!
1. Interpolar 5 meios geométricos entre 2/3 e 486.
Bom, o primeiro detalhe em que devemos prestar atenção aqui, é que se fala em 5 meios geométricos. Isso significa que a ideia é formar uma progressão geométrica, certo? Ok, agora vamos ao segundo detalhe: se nos são dados o primeiro e o último termo da sequência, que são respectivamente 2/3 e 486, e se deseja interpolar 5 meios geométricos, é claro que a PG formada terá 7 termos ao todo, já que 5+2=7. Por isso, o último termo da sequência, de valor 486, nada mais é do que o seu 7º termo, o a7.
(2/3, ___, ___, ___, ___, ___, 486)
(a1, a2, a3, a4, a5, a6, a7)
Assim, podemos concluir que o termo a7, é dado pelo produto entre o termo a1 e a razão q, quando esta é elevada ao expoente dado pela diferença entre os índices: 7 – 1 = 6.

Portanto:

2. Quando inserimos quatro meios geométricos entre 480 e 15, qual é a razão q da PG assim obtida?
Esse enunciado deixa bem claro que estamos falando de uma PG, certo? Então só precisamos ficar atentos ao seguinte detalhe: se novamente, dois termos são dados, e deseja-se inserir 4 meios geométricos entre eles, é claro que a progressão geométrica formada possuirá um total de 6 termos (n = 6). Assim, 480 será o primeiro termo, a1, enquanto que o número 15 será o sexto termo da sequência, o a6. Isso nos permite concluir que o valor de a6 é igual ao produto entre o valor de a1 e a razão q, quando esta é elevada ao expoente dado pela diferença entre os dois índices: 6 – 1= 5.
(480, ___, ___, ___, ___, 15)
(a1, a2, a3, a4, a5, a6)

Bom pessoal, definir a fórmula do termo geral da PG, de forma a encontrar a razão da sequência q, que possibilita a interpolação dos mais variados meios aritméticos é relativamente simples. Só não sei se vocês repararam que o fato da razão q possuir expoente, e ser, na maioria das vez a incógnita da questão, nos leva a utilizar um monte as propriedades da potenciação e também a calcular raízes de índices elevados. Por isso é importante estar bem craque nessas propriedades, e também saber fatorar direitinho os valores para poder reescrevê-los na forma de potência, como por exemplo:
81 = 34
729 = 36
32 = 25
Então, se vocês não querem ficar perdidos nesses pequenos detalhes aí, deem uma olhada no vídeo que estou deixando em anexo! Lá eu mostro umas sacadas muito interessantes da potenciação, que tornam as resoluções das equações extremamente simples. E é claro que também resolvo mais alguns exercícios, numa abordagem complementar a que acabamos de ver. Pois bem, se eu estou dizendo isso, é porque como vocês imaginam, esse texto está chegando ao fim. Mas espero que o assunto de hoje tenha sido bem proveitoso para os seus estudos, de forma que nenhuma questão de PG possa lhes assustar mais!
Um abraço a todos e até breve!