MÉDIA GEOMÉTRICA

MÉDIA GEOMÉTRICA

Você conhece a média geométrica? Ela se aplica a uma série de questões interessantes, inclusive nas taxas de crescimento. Acesse o texto, e entenda como utilizá-la!

maio 16, 2019 | Estatística | Katiany Rossi

Star Ferramentas de IA

A média geométrica de um conjunto de elementos, pode ser calculada extraindo-se a raiz enésima do produto dos n elementos desse conjunto. Apesar da definição um tanto confusa, a verdade é que a média geométrica possui aplicações em diversas áreas da matemática.

 

Olá, pessoal! Tudo bem?

O nosso texto de hoje abordará mais um conteúdo de estatística muito interessante: a Média Geométrica, que assim como as médias aritmética e harmônica, é uma média pitagórica. O conceito de média geométrica costuma ser aplicado em uma série de áreas, como por exemplo, em questões financeiras, que tratam de taxas de crescimento ou de aumentos sucessivos, em questões geométricas em si, que envolvem figuras e suas áreas e medidas, e também no próprio contexto da progressão geométrica, a PG. Por isso, esse assunto vem sendo bastante cobrado, principalmente em vestibulares com um nível de exigência mais elevado.

Estão todos prontos? Chegou a hora de iniciarmos nosso estudo, partindo, é claro, da definição da fórmula da média geométrica.

 

1. DEFINIÇÃO DA FÓRMULA DA MÉDIA GEOMÉTRICA

Fórmula da média geométrica em um caderno

Seja o conjunto A formado por n elementos:

A= {x1, x2, x3, …, xn}

A média geométrica, representada por representação da média geométrica, de todos os elementos de A, será a raiz enésima do produto dos n elementos do conjunto. Assim, podemos escrever a seguinte fórmula:

Ressaltando a fórmula da média geométrica

Parece complicado, não é? Mas vamos melhorar um pouquinho essa definição. Para que possamos calcular a média geométrica entre uma série de valores, primeiramente, devemos multiplicar todos esses valores. Em seguida, é necessário extrair uma raiz do resultado. O índice dessa raiz, nada mais é do que o número de termos dos quais estamos querendo descobrir a média geométrica.

Por exemplo, se estamos extraindo a média geométrica entre 2 termos, o índice da raiz será 2, e teremos uma raiz quadrada. Já se o cálculo estiver sendo realizado entre 3 termos, teremos uma raiz de índice 3, ou seja, uma raiz cúbica, e assim por diante. Vamos resolver um exercício para tornar isso bem claro, venham comigo!

 

1.1 Exemplo Resolvido

Aluno feliz porque vai acompanhar um exemplo resolvido sobre media geométrica

Seja o conjunto A = {2, 4, 8}. Calcule a média geométrica entre os termos de A.

Reparem, primeiramente, que temos um conjunto formado por 3 termos. Assim, faremos o produto entre esses 3 termos e do resultado, extrairemos uma raiz cúbica, ou seja, de índice 3.

Cálculo da média geométrica dos elementos do conjunto A

Tranquilo, pessoal!? Esse é um exercício bastante simples, que utilizamos para entender melhor a definição da fórmula que acabamos de aprender. Mas casos como esse dificilmente vão acontecer em provas de concursos e vestibulares. Por isso, nós vamos estudar agora um assunto de real aplicação da média geométrica, a taxa de crescimento médio. Vou explicar direitinho para vocês porque, nesse caso, aplicamos a média geométrica e não qualquer outro tipo de média. Veremos ainda, como realizar todo o cálculo que envolve aumentos sucessivos. Sigam comigo!

 

2. APLICAÇÃO DA MÉDIA GEOMÉTRICA: TAXA DE CRESCIMENTO MÉDIO

Moedas representando a taxa de crescimento médio

Para entendermos bem esse conceito, vamos partir logo para uma situação prática, abordando o crescimento das vendas em uma empresa ao longo de 3 anos de análise. As taxas de crescimento por período são descritas na tabela abaixo:

Tabela mostrando as taxas de crescimento de uma empresa durante 3 anos

A partir dos dados da tabela, qual foi o crescimento médio das vendas desta empresa?

Primeiramente, interpretando os dados que foram apresentados, nós percebemos que as vendas da empresa cresceram de forma diferente em cada período. Essa situação é muito comum no nosso cotidiano, e é justamente por isso que o exercício nos questiona o crescimento médio. A média é uma medida de tendência central que tem por objetivo representar um conjunto de valores através de um único número. Assim, ao final deste exercício, teremos um único valor que representa o crescimento anual das vendas da empresa.

Querem ver como é verdade? Vou conduzir vocês na obtenção desse raciocínio. Vamos lá!

A princípio, podemos afirmar que no primeiro ano de análise, o valor das vendas aumentou 30%. No segundo ano, as vendas cresceram um pouco menos, 8% mais precisamente, mas sobre o valor total das vendas do ano anterior, que já tinham sido acrescidas de 30%. Já no terceiro ano, as vendas melhoraram e aumentaram cerca de 16%, mas novamente essa porcentagem se aplica sobre o saldo do ano anterior, ou seja, do segundo ano analisado, que já tinha sido acrescido de 30% e ainda de mais 8%. Isso significa, em termos de cálculo, que sempre vamos aplicar as taxas apresentadas sobre o valor total das vendas do período anterior, e não sobre o valor inicial.

 

2.1 Trabalhando com números

 

Exemplo numérico em que as taxas de crescimento dos 3 anos são aplicadas

Para que a ideia fique ainda mais clara, vamos utilizar um exemplo numérico, e supor que o valor inicial das vendas antes da análise mostrada na tabela, era de R$100.000,00 por ano. Aplicando as taxas sobre os valores de cada período, chegaremos à situação apresentada na figura acima, em que encontramos o valor total das vendas ao final do terceiro ano.

Ferretto chamando atenção para o cálculo dos aumentos sucessivos

Mas antes de continuar, aqui vai um aviso muito importante! Se vocês observaram a figura, mas não entenderam bem como as taxas foram aplicadas em cada período, deem uma olhadinha no texto Porcentagem: transformação de taxas e aumentos e descontos. Lá vocês aprenderão direitinho como calcular aumentos e descontos, o que tornará tudo que faremos na sequência bem mais claro.

Certo, pessoal? Então, seguindo o exercício, vejam que em termos de valores, essa empresa teria vendido, no final do terceiro ano de análise, um valor total de R$ 162.864,00. Mas se ao invés de aplicarmos todas essas taxas diferentes a cada período, nós encontrássemos a tal taxa média, que representa todas elas, será que o cálculo não seria mais fácil? Com toda a certeza! Agora, como fazer isso?

 

2.2 Recorrendo à média aritmética

Ferretto mostrando em uma placa a fórmula da média aritmética

Bom, aí vocês poderiam pensar no seguinte: já que estamos buscando uma taxa média entre as 3 taxas apresentadas, poderíamos calcular logo a média aritmética entre elas, e o resultado, quando aplicado aos valores do exemplo, nos proporcionaria o mesmo valor em vendas que acabamos de obter, ou seja, causaria o mesmo efeito que as taxas de cada período causaram ao fim do cálculo. Mas será que isso dá certo? De acordo com o que aprendemos no texto Medidas de Tendência Central, podemos calcular a média aritmética a partir da fórmula que mostrei acima:

Cálculo da média aritmética entre as taxas de crescimento apresentadas

Assim, segundo a média aritmética, a taxa média entre 30%, 8% e 16%, ou ainda, a taxa que pode representar essas três taxas distintas de forma equivalente é 18%. Para averiguar a veracidade do que estamos supondo, vamos refazer todo o cálculo feito anteriormente com as taxas apresentadas na tabela, vejam só:

Aplicando em valores numéricos a taxa equivalente obtida pela média aritmética

Pois é, parece que a média aritmética, apesar de bem simples, não nos ajuda a resolver problemas como esse. Vejam que na nossa análise inicial, o valor das vendas ao final de 3 anos foi de R$ 162.864,00. Contudo, quando aplicamos a taxa média obtida através da média aritmética, o valor encontrado foi R$ 164.303,00. E se tentarmos aplicar a média geométrica agora, será que funciona?

 

2.3 Partindo para a média geométrica

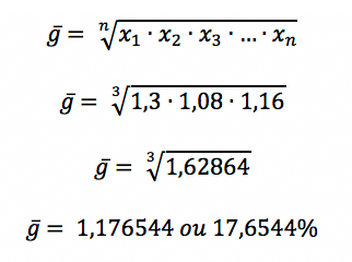
Só tem um jeito de descobrirmos se a média geométrica vai funcionar nesse caso: calculando! Só não esqueçam que se a média está sendo calculada entre 3 termos, a raiz da fórmula terá índice 3, olhem só:

Cálculo da média geométrica entre as taxas de crescimento apresentadas

Vamos averiguar agora, se a taxa média encontrada com base no conceito de média geométrica está de acordo com os resultados obtidos em nossa primeira análise:

Aplicando em valores numéricos a taxa equivalente obtida pela média geométrica

Uau! Finalmente obtemos um resultado semelhante ao da nossa análise feita com todas as taxas apresentadas! Assim, podemos concluir que a resposta do exercício, ou seja, o crescimento médio das vendas da empresa é, sem dúvida alguma, de 17,6544%. Mas aí fica a pergunta: por que devemos utilizar a média geométrica quando tratamos desse assunto? É com essa dedução que vamos concluir nosso texto.

 

2.4 Por que a média geométrica é utilizada para calcular a taxa de crescimento médio?

Criaremos agora um caso geral para tudo o que desenvolvemos até então. Vamos chamar o nosso valor inicial que era 100.000 de Vi, e nossas taxas aplicadas, de acordo com cada período, de i1, i2 e i3. Isso nos permitirá perceber exatamente quais passos traçamos na busca pelo resultado. Vejam só:

Fórmula teórica das taxas de aumento sucessivo

Podemos obter também um caso geral para o uso da taxa média ou taxa equivalente, que chamaremos de ieq. Observem a figura:

Fórmula teórica da taxa de aumento equivalente

Como sabemos que os valores finais devem ser iguais, podemos igualar as duas equações apresentadas nos quadros em lilás:

Igualando as duas fórmulas aparece a justificativa para usar a média geométrica

Vejam como a taxa média, que chamamos de equivalente, é exatamente igual a raiz cúbica do produto das três taxas iniciais! Voltem no texto e confiram se não foi exatamente isso que fizemos quando calculamos a média geométrica entre as taxas! É por isso que em aplicações como estas, nós utilizamos a média geométrica.

E assim chegamos ao final de mais um texto! Espero que tudo que aprendemos aqui hoje tenha sido muito proveitoso, e que ajude vocês a garantirem um acerto quando o assunto for abordado em uma prova. Deixo em anexo um vídeo, para vocês visualizarem e revisarem todos os conceitos estudados!

Gostou deste conteúdo? Clique aqui para saber como a Plataforma do Professor Ferretto funciona!

Conheça a plataforma

Deseja ter uma preparação completa em matemática e ciências da natureza? Então conheça os planos e cursos da Plataforma do Professor FerrettoClique aqui e vem com a gente garantir a sua vaga no ensino superior!

Conheça os planos

Um abração! Bons estudos aí!

 

Últimos posts

Ver todas