Nem música, nem eletricidade, a média harmônica é um cálculo matemático que aplicamos a termos conhecidos como taxas de variação. Você já ouviu falar dela? Não? Então clique aqui!
A média harmônica é conhecida como o inverso da média aritmética do inverso de seus termos. Por esse motivo, ela costuma ser aplicada a situações que envolvem grandezas inversamente proporcionais, as famosas taxas de variação.
Olá, pessoal! Tudo certo?
É essencial que a gente conheça e saiba onde aplicar todas as médias pitagóricas abordadas em estatística. Por isso, hoje é dia de falarmos sobre a Média Harmônica!
Velocidade, vazão, frequência, são exemplos conhecidos de taxas de variação ou grandezas inversamente proporcionais em que a média harmônica encontra aplicação. Dessa forma, quem pretende prestar aqueles vestibulares com um alto nível de exigência, não pode perder este texto! Esse tipo de conceito costuma ser cobrado com mais constância em provas como essas.
Agora, não nos resta outra opção senão iniciar nossos estudos! E para aplicar qualquer fórmula que seja, primeiro é necessário conhecê-la. Então, vem comigo!

Seja o conjunto B formado por n elementos:
B = {x1, x2, x3, …, xn}
A média harmônica, normalmente representada por
, de todos os elementos de B, é a razão entre o número de elementos do conjunto, que chamamos de n, e a soma dos inversos de todos esses elementos. É o que retrata a fórmula a seguir:

Observem o denominador da fórmula que acabamos de aprender, mas não se assustem com ele! O que temos ali é uma soma de frações, em que os termos do conjunto B estão localizados nos denominadores. Mas sabem por que isso é necessário? Porque estamos falando do inverso dos termos, e obter o inverso de um número significa justamente passar esse número para o denominador.
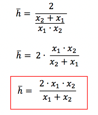
Certo, pessoal!? Nós podemos utilizar a fórmula acima para calcular a média harmônica entre quantos termos forem necessários, 2, 4, 7, 10, 50 e por aí vai. Mas é claro que essa questão da soma de frações no denominador pode dificultar um pouco o nosso cálculo. Felizmente, caso a ideia seja calcular a média harmônica entre apenas dois termos, existe uma fórmula alternativa. Ela é deduzida a partir da fórmula geral, e pode ser empregada para facilitar o nosso trabalho. Vamos encontrá-la na sequência, acompanhem!

A média harmônica entre apenas dois valores, tais como x1 e x2, pode ser obtida de uma forma muito mais rápida e prática. Vamos deduzi-la agora partindo da expressão original! Como estamos trabalhando com dois valores, sabemos que n será igual a 2. É hora de ver no que isso irá resultar.

Realizando o Mínimo Múltiplo Comum (MMC) no denominador, temos que:

Simples, não é mesmo? Assim, nós podemos dizer que a média harmônica entre apenas dois valores, é igual a razão entre o dobro do produto dos dois valores e a soma desses dois valores. É claro que vocês podem utilizar a fórmula geral para encontrar o valor da média entre dois termos, não há problema algum. Contudo, será muito mais fácil utilizar esse caso especial, principalmente quando é necessário ganhar tempo em uma prova de vestibular, por exemplo. Lembrem sempre que as ferramentas mais simples existem para serem utilizadas!

Agora, nós vamos tratar de uma relação de desigualdade que existe entre as três médias pitagóricas e é muito interessante! Para quem não está lembrado, as médias pitagóricas são a média aritmética, que estudamos no texto Média, Moda e Mediana, a média geométrica, que também já estudamos no texto Média Geométrica, e claro, a média harmônica, que acabamos de aprender. Observem a imagem abaixo para relembrar como cada uma dessas médias pode ser representada.

A verdade é que se extrairmos as médias aritmética, geométrica e harmônica dos mesmos n valores, vamos obter os resultados de acordo com a seguinte relação:

Querem ver como dá certo? Vamos fazer um exercício para entender bem a ideia.

Determine as médias aritmética, geométrica, e harmônica entre os termos 2 e 8.

Como vocês puderam ver nos resultados, se calcularmos as três médias pitagóricas entre os mesmos valores, o resultado da média aritmética sempre será o maior, seguido pelo da média geométrica, enquanto que o menor resultado será sempre o da média harmônica. Ainda, existe a possibilidade de o valor da média aritmética ser igual ao da média geométrica, que por sua vez também pode ser igual ao da média harmônica, e vice-versa.
Entendido? Lá no começo do nosso texto, foi comentado que a média harmônica é aplicada quando buscamos a média entre grandezas inversamente proporcionais, as taxas de variação. Vocês sabem o que isso significa? Não se preocupem, nós vamos aprender tudo isso agora através de um exercício resolvido. Sigam comigo!
(Uel) Um automóvel subiu uma ladeira a uma velocidade média de 60 km/h e, em seguida, desceu a mesma ladeira a velocidade média de 100 km/h. A velocidade média desse veículo no percurso inteiro foi de:
a) 72 km/h
b) 75 km/h
c) 78 km/h
d) 80 km/h
e) 84 km/h

Já que a velocidade média no percurso inteiro é questionada, nós poderíamos pensar, num primeiro momento, em realizar uma média aritmética simples entre as velocidades de subida e descida. Lembrando lá do texto Média, Moda e Mediana, com um cálculo rápido, somaríamos 60 e 100, obteríamos 160, depois dividiríamos 160 por 2, e teríamos uma velocidade média de 80 km/h. E não é que temos uma alternativa com esse valor? Sim, de fato temos, mas vou explicar para vocês agora porque precisamos pensar um pouquinho melhor nessa questão.
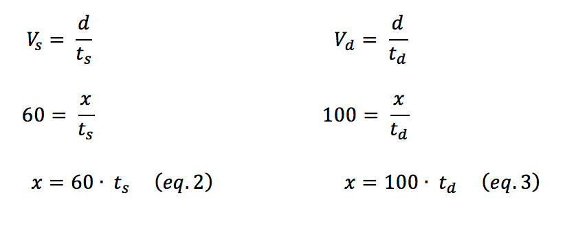
A velocidade pode ser definida, de forma simples, como a razão entre uma certa distância percorrida e o tempo gasto para percorrê-la. Vamos recorrer brevemente a física, para definir a fórmula da velocidade segundo o movimento retilíneo uniforme. Chamaremos a distância percorrida de d e o tempo gasto para percorrê-la de t:

Bom, nós não conhecemos o comprimento da ladeira em que o automóvel subiu, mas sabemos que essa foi a distância percorrida por ele, e ainda que ela é a mesma na subida e na descida. Chamaremos então esse comprimento de x, para podermos substituir o valor de d na fórmula. Também faremos a substituição do termo V pelas velocidades de subida Vs e de descida Vd, dadas no enunciado do exercício. Isso nos leva a duas relações para a distância x. Uma para tempo de subida, ts, e outra para o tempo de descida, td, olhem só:

Como essas duas relações são iguais a x, podemos igualar as expressões e obter uma relação direta entre o tempo de subida e o tempo de descida para uma mesma distância:

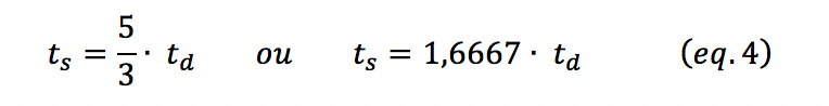
Podemos simplificar a razão entre 100 e 60 por 20, e chegamos a:

A partir da equação 4, nós podemos concluir que o tempo gasto para subir é maior que o tempo gasto para descer, em cerca de 66,67%. Contudo, a velocidade de subida foi menor (60 km/h) que a de descida (100 km/h). Quando falamos em velocidade, é exatamente assim que acontece. Se percorrermos uma certa distância em menos tempo, teremos uma velocidade maior. Agora, se percorremos essa mesma distância em mais tempo, teremos uma velocidade menor. Esse é o conceito de grandezas inversamente proporcionais, ou seja, uma precisa ser menor para a outra ser maior, ambas não crescem ou decrescem juntas.
Agora que entendemos um pouco melhor o que é uma grandeza inversamente proporcional, fica mais fácil definir porque a média harmônica deve ser utilizada quando o assunto é velocidade média. Por mais incrível que pareça, a desigualdade entre as médias pitagóricas vai nos ajudar a entender o caso.
Ao extrairmos a média aritmética, geométrica e harmônica dos mesmos n elementos distintos, o resultado da média aritmética sempre será o maior, enquanto que o da média harmônica sempre será o menor. Isso nos mostra que a média harmônica tende a minimizar a influência de grandes valores, e a priorizar os menores valores do conjunto. Sendo a média harmônica o inverso da média aritmética do inverso de seus termos, é claro que com a média aritmética acontece justamente o contrário!
Mas o que isso tem a ver como o nosso exercício? Pessoal, no exemplo nós temos um percurso em que a mesma distância é percorrida com velocidades diferentes. Assim, com uma velocidade menor, gasta-se mais tempo para percorrer o percurso. Isso significa que a menor velocidade terá mais impacto sob o tempo total do percurso. E qual é a média que prioriza os valores menores? A média harmônica! É por isso que a média aritmética não se aplica aqui.
Para comprovar essa teoria, vamos calcular a média harmônica entre as duas velocidades. Em seguida, teremos a oportunidade de refazer todo o cálculo com base nas equações que já havíamos montado. Usaremos, é claro, a fórmula do caso especial que deduzimos neste texto para facilitar nosso trabalho:

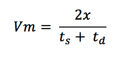
Agora é hora de voltarmos à física para buscar a velocidade média do percurso completo, tudo com base na equação 1. Aí é só lembrar do seguinte: se o automóvel percorreu uma distância x para subir, e uma mesma distância x para descer, ele percorreu no percurso completo uma distância de 2x. Já em relação ao tempo, sabemos que temos um tempo de subida, ts, e um tempo de descida, td. Assim, se somarmos esses dois tempos, teremos o tempo gasto no percurso completo. Isso é tudo que precisamos para descobrir a velocidade, vejam só:

Com três incógnitas é impossível ir adiante. Mas se voltarmos um pouquinho no texto, veremos que já temos os valores de x e de ts em função de td, nas equações 3 e 4, respectivamente. Vamos substituir esses valores na equação e desenvolvê-la até encontrarmos a velocidade média:

Assim, chegamos ao final de mais um texto! Espero que vocês tenham gostado de estudar a média harmônica, e que tenham entendido direitinho onde ela deve ser aplicada. Lembrem sempre que as médias são medidas de tendência central, ou seja, elas existem para representar da melhor forma um conjunto de valores. Por isso, uma análise sempre deve ser feita para avaliar qual ou quais valores do conjunto devem ser priorizados.
Gostou deste conteúdo? Clique aqui para saber como a Plataforma do Professor Ferretto funciona!
Deseja ter uma preparação completa em matemática e ciências da natureza? Então conheça os planos e cursos da Plataforma do Professor Ferretto. Clique aqui e vem com a gente garantir a sua vaga no ensino superior!
Novamente, deixo um vídeo em anexo para que vocês tenham acesso a abordagens diferentes e possam aprimorar ainda mais o conhecimento. Não deixem de vê-lo!
Um abração a todos! Tenham bons estudos e até o próximo texto!