NOTAÇÕES ESPECIAIS DE UMA PROGRESSÃO ARITMÉTICA (PA)

NOTAÇÕES ESPECIAIS DE UMA PROGRESSÃO ARITMÉTICA (PA)

Você sabe como formar progressões aritméticas de 3, 4 ou 5 termos de uma forma bem simples? As notações especiais da PA tornam isso possível! Conheça-as aqui no texto!

maio 25, 2018 | Progressão Aritmética | Katiany Rossi

Star Ferramentas de IA

Olá pessoal, tudo bem com vocês?

Não há coisa melhor do que descobrir que existe um método mais fácil de resolvermos determinada situação, não é? Por isso, o texto de hoje irá tratar das notações especiais da PA, que nada mais são do que algumas formas diferentes de expressar essas sequências numéricas quando as mesmas possuem a quantidade de termos definida, no caso, quando elas possuem apenas 3, 4 ou 5 termos. Conhecer as notações, nos permite trabalhar com menos incógnitas, e isso poderá ser o diferencial para vocês garantirem um acerto nas questões de PA que aparecem nas provas dos vestibulares e até mesmo do ENEM!

E se vocês quiserem saber mais sobre as progressões aritméticas, ou ainda, sobre os demais conteúdos de matemática do ensino médio, é hora de assinar a plataforma do Professor Ferretto! Só lá vocês encontram aulas super didáticas e uma infinidade de exercícios para resolver e se preparar para as provas que irão fazer! E se bater aquela dificuldade, não tem problema, as questões são resolvidas em vídeo, e no plano diamante, você pode contar com uma equipe de monitores treinados para te ajudar! Acessem o site, e confiram todos os planos disponíveis!

Caderno, lápis, caneta, está tudo aí pertinho? Deixem tudo preparado, porque vamos ver cada uma das notações em detalhes já já! Mas antes, gostaria de deixar o seguinte alerta: se vocês não conhecem a progressão aritmética, nem como seus termos são nomeados, ou ainda, não sabem como obter a razão r que relaciona todos os termos dessa sequência, é muito importante que vocês deem uma olhada no texto Termo geral, classificação, e propriedades de uma progressão aritmética. Assim o aproveitamento do assunto de hoje será ainda maior!

Agora sim, vamos começar? Então, vem comigo aqui!

 

1. NOTAÇÃO PARA UMA PA DE 3 TERMOS

Uma PA de 3 termos costuma ser definida da seguinte maneira:

PA (a1, a2, a3)

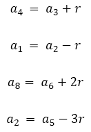
Onde a1, é o primeiro termo, a2 é o segundo e a3 é o terceiro termo da sequência. Como se trata de uma PA, nós sabemos que uma vez que conheçamos o valor de um de seus termos, e sua razão r, poderemos chegar ao valor de qualquer outro termo, da forma que aparece na figura abaixo:

Reparem que a medida que vamos avançando na sequência de termos, ou seja, vamos indo para a direita, precisamos sempre somar uma razão ao termo antecessor para chegar ao termo sucessor. Já para voltarmos na sequência, ou seja, irmos para a esquerda, precisamos subtrair uma razão do termo sucessor para chegar ao termo antecessor. Ainda, é possível encontrar termos distantes um do outro, descobrindo quantos saltos a razão dá na sequência, seja para a direita ou para a esquerda. Vou citar alguns exemplos para tornar a ideia mais clara:

Viram como é fácil? É essa a lógica que vamos utilizar para escrever a notação especial de uma PA de 3 termos. Olhem só o que será feito: primeiramente, nós vamos chamar de x, o termo central da nossa PA, ou seja, o termo a2. Aí, através do que acabamos de aprender, podemos dizer que como a1 está a esquerda de a2, subtraindo uma razão de a2, nós podemos chegar ao seu valor. Por outro lado, como a3 está a direita de a2, se nós adicionarmos uma razão a a2, também encontraremos o seu valor. Como dissemos inicialmente que a2 seria substituído por x, formaremos a sequência x – r, x, e x + r, como mostra a figura:

Captaram a ideia? Essa notação facilita bastante a resolução de alguns exercícios, porque diminui o número de incógnitas da sequência. Vejam que inicialmente, nós precisávamos encontrar os valores de a1, a2, e de a3, ou seja, de 3 incógnitas.  Mas agora, reescrevendo a PA com essa nova notação, precisaremos apenas dos valores de x e da razão r, ou seja, ficamos com 2 incógnitas. E o melhor, o número de termos da PA não foi alterado, ainda temos uma PA de 3 termos!

Vocês verão, nas próximas notações, que conseguiremos diminuir ainda mais o número de incógnitas sem alterar o número de termos das sequências. Vem comigo aqui!

 

2. NOTAÇÃO PARA UMA PA DE 4 TERMOS

Uma PA de 4 termos pode ser definida como:

PA (a1, a2, a3, a4)

A notação especial de uma PA de 4 termos também segue a lógica que acabamos de aprender. Só que agora nosso ponto de partida será o primeiro termo da sequência, o a1. Assim, manteremos esse termo como está, e definiremos os demais com base nele, e em quantos saltos a razão dá para a direita na sequência, como mostra a figura abaixo:

Observem que do termo a1 para o termo a2, temos apenas um salto da razão para a direita. Já do termo a1 para o termo a3, temos dois saltos da razão para a direita. E por fim, do termo a1 para o termo a4, temos três saltos da razão para a direita. Isso explica porque os termos a2, a3, e a4, foram denominados a1 + r, a1 + 2r, e a1 + 3r, respectivamente.

Tranquilo não é pessoal? Nesse caso nós conseguimos otimizar ainda mais a sequência, porque de 4 incógnitas, restaram apenas 2! Bom, chegou a hora de estudarmos a última notação de hoje. Vamos lá!

 

3. NOTAÇÃO PARA UMA PA DE 5 TERMOS

Para uma PA de 5 termos, nós podemos utilizar a seguinte definição:

PA (a1, a2, a3, a4, a5)

Com toda a certeza, a notação especial de uma PA de 5 termos também seguirá o mesmo raciocínio empregado nas demais notações, sendo incrivelmente parecida com a notação para 3 termos. Vejam que a ideia é a mesma: primeiramente, o termo central, a3, será substituído pelo termo x. Só que agora temos 2 termos a esquerda e 2 termos a direita de a3, e não apenas 1. Por isso, precisamos observar quantos saltos a razão r, dá para a direita e para a esquerda de a3 na direção de cada um dos termos, e assim iremos defini-los a partir de x.

Observem que os termos a4 e a5 estão a direita de a3. O termo a4, está distante uma razão do termo a3, enquanto o termo a5 está distante duas razões deste termo. Isso explica porque vamos somar uma razão r a x, e em seguida, duas. Para os termos a2 e a1, acontece justamente o contrário. Como eles estão a esquerda de a3, e distantes uma e duas razões deste termo, respectivamente, precisaremos descontar uma e duas razões r de x, na notação.

Que interessante não é!? Neste último caso, de 5 incógnitas que tínhamos, também nos restaram apenas 2r. Mas chega de análises, agora precisamos aprender como aplicar o conhecimento que adquirimos, por isso aí vai um exercício!

 

Obtenha uma PA de três termos tais que a sua soma seja 24 e o seu produto seja 440.

Bom, vamos começar desvendando as informações que o enunciado nos traz. É fato que estamos falando de um PA de 3 termos, então vamos defini-la:

PA (a1, a2, a3)

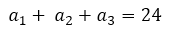
É dito que a soma de todos os termos dessa PA é igual a 24. Assim podemos montar a seguinte equação:

Também se diz que o produto dos termos da mesma PA é igual a 440, e isso nos dá uma nova equação:

Bom, acabaram os dados do enunciado, e nós temos 3 incógnitas mas apenas 2 equações. Será que isso dá certo? Assim como está, certamente não. Agora, se nós substituirmos os valores de a1, a2, e a3 pelos valores da notação que aprendemos, olhem só o que irá acontecer! Vamos começar pela equação das somas:

Vejam como a matemática pode ser fascinante! Se nós observamos a equação com cautela, veremos que as razões – r e + r podem ser canceladas. Assim chegaremos facilmente ao valor de x:

Aí, para encontrarmos o valor da razão r, nós iremos realizar o mesmo procedimento na equação do produto, e por fim, substituiremos o valor de x por 8:

Acabamos de encontrar a razão de nossa PA, contudo, será o valor negativo, ou o positivo? A resposta nesse caso, é que os dois valores são válidos! Isso porque existem progressões aritméticas crescentes e decrescentes. A primeira, é claro possui razão positiva, enquanto que a segunda, possui razão negativa. Assim poderemos formar duas sequências aqui, uma crescente e outra decrescente, vejam só:

E hoje, ficamos por aqui! Espero que o estudo das notações especiais de uma PA tenha sido proveitoso para vocês, e que de alguma forma, os ajude a atingir os seus objetivos! Em anexo, deixo um vídeo sobre o assunto, que contém exercícios resolvidos sobre todas as notações que aprendemos hoje. Deem uma olhada nele, tenho certeza de que irá valer a pena!

Um abração! Bons estudos e até logo mais!

 

 

 

 

 

Últimos posts

Ver todas