PORCENTAGEM: TRANSFORMAÇÃO DE TAXAS E AUMENTOS E DESCONTOS

PORCENTAGEM: TRANSFORMAÇÃO DE TAXAS E AUMENTOS E DESCONTOS

Estamos sempre rodeados por dados de porcentagem, informações do tipo: aumento de educação, desconto ou promoções de final de ano, são muito comuns no nosso dia a dia. Nesse texto, eu irei mostrar para vocês como calcular esses aumentos e descontos e, também, como fazer as transformações de taxas de porcentagem.

novembro 30, 2017 | Matemática Básica | Katiany Rossi

Star Ferramentas de IA

Olá pessoal, tudo bem com vocês?

Vamos falar agora sobre um assunto muito importante e que está presente no nosso dia a dia, é o assunto de porcentagem. Este é um assunto muito importante não só para o Enem, mas também para diversos vestibulares e concursos públicos.

E se você está se preparando para o Enem ou para o vestibular e precisa aprender matemática, assine a plataforma Professor Ferretto. Além de oferecer um conteúdo abrangente sobre a matemática básica e do ensino médio, você também poderá resolver exercícios e acompanhar seu desempenho durante o curso.

Certo pessoal!? Então, vem comigo aqui!

Vou começar usando um exemplo bem didático, sobre o aumento da população brasileira. Na tabela abaixo encontramos uma estimativa da distribuição da população brasileira por região do país, do ano de 2010.

Agora podemos pensar, que porcentagem da nossa população habita a região mais povoada?

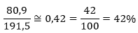
Pela tabela podemos ver que a região mais povoada é a região Sudeste, com 80,9 milhões de habitantes. Como a população total é de 191,5 milhões, a fração correspondente ao Sudeste é:

Para escrever esta fração na forma de porcentagem, efetuamos a divisão e transformamos numa fração de denominador 100.

Então, 42% da população brasileira habita a região Sudeste. Pessoal, olhem que coisa legal. Usando esses dados, também podemos representar a distribuição da população brasileira num diagrama circular (“gráfico de pizza”). Nesse caso, podemos determinar à quantos graus corresponderá a região Sudeste. Vejam só:

Dessa forma, a região Sudeste (representada pela cor azul), corresponde à 151° do diagrama circular. A representação neste tipo de gráfico se torna mais fácil, pois vejam que conseguimos identificar facilmente quais são as regiões mais populosas e também as menos populosas.

Quando escrevemos 42% que se lê 42 por cento, estamos usando uma outra forma para representar a razão 42/100, também chamada de razão centesimal. Por cento é uma expressão representada pelo símbolo %, que significa centésimos.

Logo,

Por isso existem maneiras de representar a porcentagem de um valor ou de uma determinada quantia. Vamos ver abaixo estas formas.

 

1. FORMAS DE REPRESENTAÇÃO DA PORCENTAGEM

As taxas percentuais (ou porcentagens) são razões de denominador igual a 100. Podemos trabalhar com porcentagens como frações, razões, ou número decimais.

Por exemplo:

Quando queremos representar uma determinada porcentagem na forma percentual, usamos 25%, que também pode ser dito taxa percentual. Quando usamos um valor sobre o denominador 100, como 25/100, estamos usando a forma fracionária para representar uma determinada porcentagem e, por fim, quando usamos o formato decimal para representar a porcentagem, como 0,25, estamos usando a forma unitária ou então, taxa unitária.

Essas representações podem ser transformadas, de uma para a outra. Vou explicar melhor como fazer isso.

 

2. TRANSFORMAÇÃO DE TAXAS

Podemos fazer a transformação de uma taxa percentual para uma taxa unitária e vice-versa, apenas dividindo ou multiplicando por 100. Vejam o esquema abaixo:

Vamos fazer algumas transformações de taxas, para ficar mais fácil o entendimento e para que vocês aprendam direitinho. Vejam os exemplos abaixo:

Fácil né!? Quando temos uma taxa percentual, basta dividir por 100 para transformar o valor em uma taxa unitária, agora quando temos uma taxa unitária é só multiplicar por 100 e teremos uma taxa percentual.

Nós temos diversos problemas, diversas questões que envolvem aumentos ou descontos, isso trabalhando com a porcentagem. Muitas vezes esses aumentos ou descontos envolvem dinheiro, ou seja, envolvem a matemática financeira, e muitos alunos acabam fazendo uma conta muito extensa e muitas vezes desnecessária para chegar no mesmo valor, de uma maneira bem simples. E é isso que eu quero explicar pra você agora, essa ideia de aumento ou desconto, usando a porcentagem de um determinado valor.

 

3. AUMENTOS E DESCONTOS:

3.1 Aumentos

Quando uma quantia V sofre um aumento de 20%, ficamos com (100% + 20%) de V, o que dá 120% de V.  Isso é igual a 120%/100V, em forma decimal 1,20V. Então, para calcular o valor final Vf, basta multiplicar V pela fração 120/100 = 12/10 = 6/5, ou pelo fator 1,20.

Quando V tem um aumento de p%, o valor final é:

Na forma decimal, com taxa de aumento de p% = i, temos:

Vamos fazer um exercício que aborde o aumento de determinado valor, para que vocês entendam direitinho. Vejam o seguinte exemplo:

O salário de um trabalhador era de R$ 840,00 e passou a ser de R$ 966,00. Qual foi a porcentagem de aumento?

Logo, a porcentagem de aumento do salário deste trabalhador foi de 15%.

3.2 Descontos

Se um artigo é vendido com 15% de desconto sobre o preço de tabela, o valor a ser pago é (100% – 15%) do preço de tabela, o que dá 85% do preço tabelado. Então, para calcular o valor a ser pago, basta multiplicar o preço tabelado por 85/100 ou pelo fator 0,85.

Quando V tem um desconto de p%, o valor final é

Na forma decimal, com taxa de aumento de p% = i, temos:

Vamos fazer um exercício que trata de um desconto, para que vocês entendam melhor este assunto.

O salário de Paulo, sofre um desconto total de 8%, com isso, ele recebeu r$ 1.518,00. O valor bruto do salário de Paulo é:
1. R$ 1.390,00
2. R$ 1.550,00
3. R$ 1.600,00
4. R$ 1.650,00
5. R$ 1.680,00

Bom, neste caso queremos saber o valor bruto do salário de Paulo, eu vou chamar esse valor de V. Vamos pensar assim, ele deveria receber 1V, mas ele teve um desconto de 8%, ou seja:

Então, ele recebeu 0,92V, ou seja, ele recebeu apenas 92% do salário bruto. Assim, podemos substituir na fórmula e descobrir qual o valor do salário bruto de Paulo.

Com isso, sabemos que o salário bruto de Paulo é de R$ 1.650,00.

 

4. AUMENTOS E DESCONTOS SUCESSIVOS

Para compor vários aumentos e/ou descontos basta multiplicar os vários fatores individuais e assim obter o “fator acumulado” que nada mais é que o fator de atualização entre o primeiro e último valor considerado, independentemente dos valores intermediários. O fator acumulado pode ser calculado por:

Pessoal, temos uma situação bem importante aqui, em algumas questões, um determinado valor inicial que sofre aumentos e descontos ao longo do tempo e, então, resulta em um valor final.

Vamos fazer um exemplo pra ficar mais fácil o entendimento desse assunto.

(VUNESP) Se a taxa de inflação de janeiro é de 6% e a d fevereiro é de 5%, então a taxa de inflação no bimestre janeiro/fevereiro é de?
a) 11%
b) 11,1%
c) 11,2%
d) 11,3%
e) 11,4%

Vamos calcular primeiro quanto vale f1, depois f2 e depois calcular o fator acumulado a partir de f1 e f2.

f1 = 1 + 0,06 = 1,06

f2 = 1 + 0,05 = 1,05

facumulado = f1 ‧ f2 → facumulado = 1,06 ‧ 1,05 = 1,113 → i = 0,113 = 11,3%

Finalizamos mais um texto e eu espero que tenha sido muito proveitoso e importante para o aprendizado de vocês. Lembrem-se que a porcentagem está presente em vários outros problemas, por isso, leiam o texto e refaçam os exercícios para fixar bem o conteúdo. Certo pessoal?

Bons estudos, sucesso e até mais!

Últimos posts

Ver todas