PRODUTOS NOTÁVEIS: DE ORDEM 3 OU SUPERIOR

PRODUTOS NOTÁVEIS: DE ORDEM 3 OU SUPERIOR

Produtos notáveis de ordem superior a 2 costumam lhe causar confusão? Nesse texto você aprenderá como obter qualquer produto notável de uma forma muito simples. É só clicar aqui para conferir!

junho 1, 2018 | Matemática Básica | Katiany Rossi

Star Ferramentas de IA

Olá pessoal, tudo certo com vocês?

A própria denominação dos produtos notáveis não deixa dúvidas de que eles são mesmo muito importantes para o estudo da matemática. Por isso, nosso texto de hoje também é para eles! Falaremos aqui sobre os produtos notáveis de ordem 3, e sobre um triângulo muito conhecido que irá nos ajudar a encontrar também os produtos notáveis de ordem 4, 5, 6 e superiores de uma forma muito simples. Chega de observarmos expressões com expoentes maiores que 2 e nos perdermos no meio de tanto cálculo. Essa é a garantia de que nenhuma expressão algébrica poderá causar dúvida em questões do ENEM e principalmente dos vestibulares!

E vocês, estão estudando para provas como essas? A plataforma do Professor Ferretto pode lhes ajudar a não ter mais dúvidas quando o assunto é matemática! Ela dispõe de videoaulas sobre toda a matemática do ensino médio, que podem ser vistas no horário e local de preferência do aluno, e conta também com uma série de exercícios do ENEM e de vestibulares resolvidos em vídeo, com foco na interpretação das questões. É só isso? Não, tem muito mais! Acessem o site para conferir todos os benefícios do curso!

Vamos começar? No texto Produtos notáveis de ordem 2, nós já estudamos três produtos notáveis muito interessantes, e fomos deduzindo-os partindo de um cálculo passo a passo. Faremos isso novamente na sequência, para estudar os produtos notáveis de ordem 3. Vem comigo aqui!

 

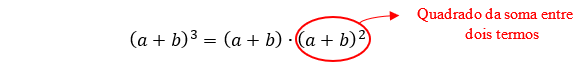
1. CUBO DA SOMA ENTRE DOIS TERMOS

Se nós olharmos com atenção a imagem acima, já ficará mais claro porque o nome deste produto notável é o cubo da soma entre dois termos, a e b no caso. Pois bem, quando elevamos um certo termo ao cubo, não estamos fazendo mais nada além de multiplicar o termo por ele mesmo, três vezes. E é isso que iremos fazer para encontrar o resultado do produto notável, vejam só:

É claro que já poderíamos aplicar aqui a propriedade distributiva, ou o famoso chuveirinho, para realizar a multiplicação dos termos acima. Mas para facilitar um pouco o nosso trabalho, e já aproveitando para revisarmos os produtos notáveis de ordem 2, iremos reescrever a expressão da seguinte maneira:

Observem que a expressão não foi alterada, apenas aplicamos uma das propriedades da potência, que nos diz que ao multiplicarmos potências de mesma base, podemos somar os seus expoentes. E vejam só quem apareceu, um produto notável de ordem 2! Como temos bem em mente qual é o resultado desse produto notável, vamos resolvê-lo, e em seguida sim aplicaremos a propriedade distributiva, acompanhem:

Reparem que nós multiplicamos uma parcela com uma soma de 2 termos por outra com uma soma de 3 termos. Isso só pode resultar em uma soma de 6 termos, o que mostra que estamos no caminho certo! Resta-nos reorganizar a expressão e somar os termos semelhantes, para chegarmos ao resultado deste produto notável:

Lembram que nos produtos notáveis de ordem 2, havia sempre uma frase bem conhecida que nos ajudava a memorizar cada uma de suas fórmulas? Pois bem, a partir dos produtos notáveis de ordem 3 fica difícil de memorizar os resultados dessa forma. Por isso, mostrarei a vocês agora como chegamos a mais um produto notável de ordem 3 e em seguida, aprenderemos como obter essas fórmulas de uma maneira bem mais simples. Vem comigo aqui!

 

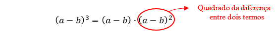
2. CUBO DA DIFERENÇA ENTRE DOIS TERMOS

Pessoal, novamente a imagem acima tenta nos explicar porque esse produto notável se chama o cubo da diferença entre dois termos, a e b. Por ser extremamente parecido com o produto notável que acabamos de estudar, a dedução do seu resultado é exatamente a mesma, exceto pelo fato que utilizaremos outro produto notável de ordem 2, para facilitar a multiplicação entre os termos através da propriedade distributiva. Fiquem atentos aos desdobramentos!

                                          

Como anteriormente, reorganizaremos a expressão para somar os termos semelhantes e chegaremos a nossa tão esperada fórmula:

E aí, o que acharam dessa nova fórmula? Interessante não é mesmo? Mas garanto a vocês que mais interessante ainda é chegar a ela sem todas as multiplicações que realizamos. Imaginem realizar todos esses passos para produtos notáveis de 4ª, 5ª, 6ª e outras ordens…  Assim, a partir desse momento, nós prestaremos atenção em 3 detalhes muito importantes nas expressões dos produtos notáveis: nos expoentes dos termos a e b, nos sinais de cada termo (se são positivos ou negativos), e também nos coeficientes, que são os valores numéricos que multiplicam cada um dos termos. Vamos lá!?

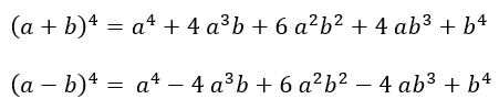
Vejam na figura acima que os expoentes dos termos a e b estão destacados. E não é por acaso, mas sim porque existe uma lógica quanto a sua disposição! No caso do termo a, se observarmos da esquerda para a direita, notem que os valores dos expoentes vão decrescendo ou diminuindo. Já em relação ao termo b, percebam que os valores dos expoentes vão crescendo ou aumentando quando os observamos da esquerda para a direita. É por isso que no primeiro termo da soma, só temos a presença de a, afinal b0 é igual a unidade, 1. O mesmo acontece para o último termo da soma: só há a presença de b, porque a0 vale 1.

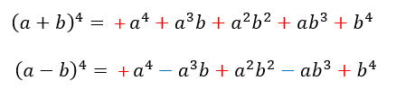
E quanto aos sinais de cada termo das expressões, vocês conseguiram encontrar alguma lógica? Prestem atenção na figura abaixo:

Reparem que nas duas primeiras expressões, onde temos produtos notáveis de ordem 2 e 3 que tratam da soma entre dois termos, todos os termos de seus resultados são positivos. Já nas duas últimas expressões, aparecem produtos notáveis de ordem 2 e 3 que tratam da diferença entre dois termos, e nesse caso, encontramos termos positivos e negativos em seus resultados. Contudo, vejam, não são termos positivos e negativos dispostos de forma aleatória, e sim de forma alternada! Por isso, fiquem atentos ao que eu lhes direi:

Agora, só nos resta estudar o último dos fatores necessários a construção da fórmula de qualquer produto notável: o valor dos coeficientes dos termos. É aí que um famoso triângulo conhecido como triangulo de Pascal pode nos ajudar. Vamos estudá-lo brevemente na sequência.

 

3. TRIÂNGULO DE PASCAL

O triângulo de Pascal foi descoberto pelo matemático chinês Yang Hui, mas muitas de suas propriedades foram estudadas um bom tempo depois, pelo matemático, físico, teólogo e filósofo francês Blaise Pascal, a quem podemos visualizar na imagem acima. Isso pode explicar a origem do nome, mas já vou avisando: vocês poderão encontrar outras denominações para este triângulo ao redor do mundo!

O triângulo de Pascal possui mais aplicações do que podemos imaginar, mas tudo o que precisamos saber aqui é como construí-lo. Para isso, deem uma olhadinha na figura:

Vejam que todas as laterais do triângulo são formadas por números iguais a 1. Mas e os demais números? É mais simples do que parece, e a figura que apresento abaixo pode lhes mostrar tudo direitinho.

Observem que a partir da terceira linha, com exceção do primeiro e do último elemento, que é claro, formam as laterais do triângulo, um elemento é formado pela soma dos dois elementos que se localizam imediatamente acima dele. Foram ressaltados apenas alguns elementos na figura, mas se vocês fizerem outras associações, irá acontecer exatamente o mesmo!

Legal não é? Agora vamos a relação que estes números que formam o triângulo de Pascal tem com os produtos notáveis. Chegou a hora de prestarmos atenção em cada linha separadamente.

Ora, parece que os elementos da terceira linha do triângulo são exatamente os coeficientes dos produtos notáveis de ordem 2! E como se isso não bastasse, vejam que os elementos da quarta linha do triângulo são os coeficientes dos produtos notáveis de ordem 3. Isso significa, que nas demais linhas do triângulo, nós poderemos encontrar os coeficientes dos produtos notáveis de 4ª, 5ª, 6ª e de quantas ordens forem necessárias. E o melhor, sem multiplicações!

Assim, para finalizarmos bem o nosso texto, vou mostrar a vocês rapidamente como obter os dois produtos notáveis de ordem 4, tudo com os conceitos que acabamos de aprender. Copiem tudo direitinho e aí vai ficar um tema de casa: realizar o mesmo procedimento para os produtos notáveis de ordem 5, 6 e quantos mais vocês desejarem!

Por serem produtos notáveis de ordem 4, os expoentes de a e b irão de 0 até 4. Só precisamos lembrar que da esquerda para a direita, os expoentes de a irão decrescer, enquanto que os de b irão crescer:

Quantos aos sinais de cada termo, é só lembrar da minha dica. Se há uma soma entre dois termos, todos os termos do resultado serão positivos. Já se houver uma subtração entre dois termos, então alternaremos entre os sinais, começando sempre a esquerda e com o sinal positivo:

E quanto aos coeficientes? Essa é a parte mais fácil de todas, se vocês souberem, é claro, montar o triângulo de Pascal:

Ou seja:

É, não tem jeito, chegou a hora de encerrarmos esse texto. Mas espero que as dicas que vocês aprenderam hoje sejam muito proveitosas, afinal elas são válidas para qualquer produto notável, de ordem 2, 3, 4, ou superior. Em anexo, deixo um vídeo para vocês acompanharem também exercícios resolvidos sobre o assunto, e claro, aquela abordagem que complementa tudo o que vimos.

Um abração e muito sucesso nos estudos! Valeu pessoal!

 

Últimos posts

Ver todas