O cálculo do discriminante da função quadrática revela se ela tem 2, 1 ou nenhuma raiz real. Entenda o comportamento das raízes da função quadrática aqui!
As raízes da função quadrática são 2 valores numéricos que quando substituem o lugar de x na função, tornam o valor desta função igual a zero ƒ(x) = 0. Dependendo do valor do discriminante (∆), uma função quadrática pode ter duas raízes reais e distintas, duas raízes reais e iguais ou então, duas raízes complexas.
Olá, pessoal! Tudo bem com vocês?
Se vocês vieram até aqui hoje, é porque desejam saber tudo sobre as raízes da função do 2º grau, certo? Então, sejam bem-vindos a este texto! Vamos estudar aqui o que são as raízes da função quadrática, como podemos calculá-las, e claro, qual é o comportamento delas de acordo com o valor do discriminante da função. Pode não parecer, mas esse conhecimento é muito importante para a matemática e pode garantir uma série de acertos nas provas do ENEM e dos vestibulares.
Beleza, pessoal? Dado o recado, é hora de iniciarmos os estudos! Vamos começar entendendo direitinho o que são as raízes da função quadrática. Vem comigo!

Como foi dito logo no início do texto, as raízes ou zeros da função quadrática são 2 valores numéricos que quando substituem o lugar de x na função, tornam o valor desta função igual a zero ƒ(x) = 0. A função quadrática é a famosa função polinomial do 2º grau, ou seja, é formada por um polinômio de grau 2. Por isso, toda função quadrática sempre possuíra exatamente duas raízes.
Graficamente, as raízes da função do segundo grau são os pontos em que a parábola – a forma gráfica da função quadrática – corta o eixo x, ou o eixo das abscissas. Para fazer referência a essas raízes, costumamos usar símbolos tais como x’ e x” ou x1 e x2.

O gráfico acima apresenta um dos comportamentos mais esperados da função do 2º grau, quando a parábola corta o eixo x em dois pontos distintos. Contudo, nem sempre isso vai acontecer, pessoal! Tudo vai depender da quantidade de raízes reais que a função quadrática possuir. Vamos comigo até o próximo item estudar melhor essa ideia!

No item anterior, nós descobrimos que toda função do 2º grau possui sempre 2 raízes. No entanto, nem sempre essas 2 raízes serão números reais. A quantidade de raízes reais de uma função quadrática depende do valor obtido para o radicando Δ = b² – 4ac, chamado de discriminante. Ao se deparar com uma função quadrática, realizando o cálculo do discriminante ou delta desta função, vocês poderão se deparar com 3 possibilidades. Confiram cada uma delas comigo na sequência!

Quando o discriminante (∆) de uma função quadrática é um valor positivo, as duas raízes desta função são reais e diferentes. Por isso, graficamente, a parábola corta o eixo x em dois pontos distintos (x’, 0) e (x”, 0).

Quando o discriminante (∆) de uma função quadrática é igual a zero, as duas raízes desta função são reais e iguais. Por isso, graficamente, a parábola toca o eixo x em um único ponto (x’, 0) ou (x”, 0), já que x’ = x”.

Quando o discriminante (∆) de uma função quadrática é um valor negativo, nenhuma das duas raízes desta função é um número real. Por isso, graficamente, a parábola não determina nenhum ponto no eixo dos x.
Aqui é importante lembrar que o fato de algumas funções não possuírem raízes reais não significa que elas não possuem nenhuma raiz. Ainda assim, estas funções possuem duas raízes! Contudo, essas raízes pertencem ao conjunto dos números complexos, um tema que não vamos aprofundar neste texto.

Pessoal, essas possibilidades ficam muito mais claras quando aprendemos a calcular as raízes da função quadrática. Venham comigo até o próximo item para estudarmos o assunto!

Em essência, o cálculo das raízes de qualquer função matemática consiste primeiramente em igualar determinada função a zero. Em seguida, por meio de manipulações matemáticas, deve-se isolar a incógnita ali envolvida para encontrar o seu valor numérico. É justamente esse o passo a passo que seguimos para encontrar a raiz de uma função afim, por exemplo. Contudo, quando se fala em função do 2º grau, a não ser que esta seja incompleta, essa não é a forma mais indicada para resolver a situação.
Para calcular as raízes de uma função quadrática, vocês devem utilizar a fórmula de Bhaskara! Basta identificar os coeficientes a, b e c, substituir esses valores na fórmula, e com alguns cálculos simples, chega-se as duas raízes da função.

Agora, observem a imagem acima com atenção. Vejam que o valor do discriminante (∆) é na verdade o mesmo valor que está dentro da raiz quadrada da fórmula de Bhaskara. Isso explica todas as nossas dúvidas sobre as consequências dos valores que obtemos ao calcular o discriminante de uma função:


Ficou claro, pessoal? Antes de partirmos para a prática, acompanhem a seguinte dica com atenção.

A fórmula de Bhaskara é o método mais infalível para o cálculo das raízes da função quadrática. Contudo, em alguns casos, pode ser mais rápido utilizar o chamado método da soma e produto. Se vocês quiserem saber como esse método funciona ou acompanhar alguns exemplos resolvidos sobre o assunto, cliquem aqui! Aqui no blog vocês encontram muito conteúdo de qualidade!

1. Determine, se existirem, os zeros das funções abaixo:
a. f(x) = x² – 2x + 1
b. f(x) = x² – x – 2
c. f(x) = 2x² + 3x + 4
O que este exercício está nos propondo, pessoal, é encontrar as duas raízes de cada uma das funções, se elas existirem. Isso porque como estudamos neste texto, em alguns casos, as raízes da função quadrática podem ser imaginárias, ou seja, podem não existir no conjunto dos números reais.
Pois bem, sem dúvida alguma uma solução para o caso seria determinar os coeficientes a, b e c de cada uma das funções apresentadas, e aplica-los diretamente a fórmula de Bhaskara, de forma a definir de uma vez as raízes desejadas.
Contudo, é importante lembrar que o cálculo do discriminante da função quadrática nos permite conhecer o comportamento das raízes antes mesmo de conhecer os seus valores das numéricos. Se o discriminante for igual a zero (∆ = 0), podemos encontrar as raízes de forma mais simplificada, e se o discriminante for negativo (∆ < 0), sabemos que as raízes não existem dentro do conjunto dos números reais, e assim, nem precisamos envolver a fórmula de Bhaskara no assunto!
Por isso, vamos encontrar o discriminante de cada uma das funções apresentadas, e então, de acordo com o resultado obtido, iremos ou não em busca do valor numérico das raízes. Vem comigo!
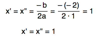
a = 1 b = – 2 c = 1
∆ = b2 – 4∙a∙c
∆ = (– 2)2 – 4∙1∙1
∆ = 4 – 4
∆ = 0
Sendo assim, sabemos que esta função possui duas raízes reais e iguais. Isso nos permite calcular as raízes de forma simplificada, olhem só!

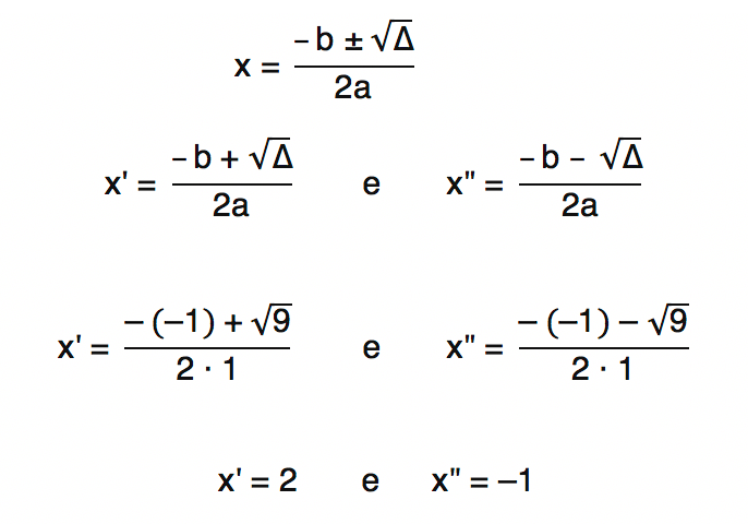
a = 1 b = – 1 c = – 2
∆ = b2 – 4∙a∙c
∆ = (– 1)2 – 4∙1∙(– 2)
∆ = 1 + 8
∆ = 9
Legal, temos um discriminante positivo! Esse é um sinal de que teremos duas raízes reais e diferentes. Vamos calculá-las!

a = 2 b = 3 c = 4
∆ = b2 – 4∙a∙c
∆ = 32 – 4 ∙ 2 ∙ 4
∆ = 9 – 32
∆ = – 23
Ora, ora, e não é que temos aí um discriminante negativo? Pois então, isso significa que essa função não possui raízes reais. Ao longo da jornada de estudos, vocês vão começar a perceber alguns padrões nos coeficientes das funções quadráticas. Aí, só de observar essas funções, já vai dar pra ter uma ideia se elas possuem raízes reais ou não.
E aí, gostaram da abordagem deste texto? Saber identificar o comportamento das raízes através do discriminante ajuda muito na hora de resolver problemas relacionados a função quadrática e também ao analisar e montar gráficos desse tipo de função.
Se você gostou do texto, clique aqui para saber como a plataforma do Professor Ferretto funciona!
Deseja ter uma preparação completa em matemática e ciências da natureza? Então conheça os planos e cursos da plataforma do Professor Ferretto. Clique aqui e vem com a gente garantir a sua vaga no ensino superior!
Espero ter contribuído para os estudos de vocês! Logo abaixo, deixo um vídeo no qual vocês conferem uma abordagem complementar sobre as raízes da função quadrática, e de quebra, resolvem mais uma série de exercícios sobre o assunto. Aguardo todos vocês por lá!
Um abraço e bons estudos a todos!