Assuntos de química que mais caem no Enem estão entre as principais dúvidas de quem estuda para a prova de...
O calor específico é uma propriedade importante na física que indica a quantidade de calor necessária para alterar a temperatura de 1 grama de uma substância em 1 grau Celsius. Esse conceito ajuda a explicar por que materiais diferentes aquecem ou esfriam a diferentes velocidades e é essencial em situações cotidianas como regulação climática e cozinhar. No contexto do Enem e vestibulares, entender o calor específico e sua fórmula pode ajudar a resolver questões interdisciplinares relacionadas a termodinâmica e energia. Além de discutir a definição e importância do calor específico, o artigo também aborda como calcular essa propriedade utilizando a fórmula clássica da calorimetria Q = m.c.ΔT. Exemplos práticos, como o cálculo para aquecer a água, são apresentados para consolidar o entendimento teórico e prático do tema. O artigo ainda explora a diferença entre calor específico e capacidade térmica, além de calor sensível e calor latente, preparando os estudantes para diversas abordagens que podem aparecer nas provas.
O Calor Específico é uma propriedade fundamental das substâncias e explica por que alguns materiais esquentam ou esfriam mais rapidamente do que outros.
O Calor Específico nos ajuda a explicar, por exemplo, a quantidade de calor necessária para esquentar água e o porquê de a areia da praia queimar mais os pés do que a água do mar se a temperatura ambiente é a mesma.
É através do Calor Específico que se compara o aquecimento de diferentes materiais através de uma fórmula própria e, por conseguinte, o desenvolvimento de materiais mais eficientes na condução do calor. Não por menos, o tema tem sido cobrado nas provas para ingresso no ensino superior.
Neste artigo, portanto, você entenderá o que é Calor Específico de forma clara e objetiva. Aprenderá a aplicar a fórmula do Calor Específico, saberá diferenciar Calor Específico de conceitos como capacidade térmica e calor latente, e, o mais importante, aprenderá a resolver as questões típicas do Enem e vestibulares sobre o tema.
Em termos simples, o calor específico (c) é uma propriedade física que indica quantidade de calor necessária para alterar a temperatura de 1 grama de uma substância em 1 grau Celsius (ou 1 Kelvin).
Pense nele como uma “identidade térmica” de cada material: ele mede a “dificuldade” que uma substância tem para mudar sua temperatura.
Para entender o mundo que nos cerca. Para responder justamente a perguntas como, “por que alguns materiais esquentam mais rápido que outros, mesmo recebendo a mesma quantidade de calor?”
Entender o calor específico é, portanto, entender fenômenos naturais e tecnológicos ao nosso redor.
O cálculo envolvendo calor específico é direto e segue uma fórmula clássica da calorimetria, que é a área da física que estuda a transferência de calor entre os corpos. O domínio dela é essencial para resolver exercícios que podem cair em sua prova.
A fórmula fundamental do Calor Específico é derivada da equação da Quantidade de Calor Sensível, isto é, a quantidade de calor que um corpo recebe ou perde, causando apenas uma variação em sua temperatura, sem que ocorra mudança em seu estado físico (sólido, líquido ou gasoso).
Ela relaciona, portanto, o calor trocado por um corpo com a variação de sua temperatura.A relação é expressa pela Equação Fundamental da Calorimetria:
Q = m.c.ΔT
Onde:

Exemplo prático: Vamos calcular a quantidade de calor necessária para aquecer 500 g de água de 20°C para 80°C. Sabemos que o calor específico da água é c = 1 cal/g°C.
Portanto, são necessárias 30.000 calorias para esse aquecimento.
Conhecer os valores típicos ajuda a ter intuição para resolver problemas mais rapidamente. Veja esta tabela de referência:
| Substância | Calor Específico (cal/g°C) | Calor Específico (J/kg°K)* |
|---|---|---|
| Água | 1,00 | 4180 |
| Gelo | ~0,50 | ~2090 |
| Alumínio | 0,22 | ~900 |
| Ferro | 0,11 | ~460 |
| Cobre | 0,093 | ~390 |
| Chumbo | 0,031 | ~130 |
*Note que a unidade mais comum no SI é J/kgK. A conversão é: 1 cal/g°C = 4180 J/kgK. O calor específico da água é o mais alto entre as substâncias comuns, um dado crucial.
Esses dois conceitos são irmãos, mas não são a mesma coisa, e as provas adoram cobrar essa distinção. Importante, pois, a diferenciação para não confundir mais.
A relação entre eles é direta: C = m.c
Ou seja, a Capacidade Térmica (C) de um corpo é igual à sua massa multiplicada pelo seu calor específico (c). A fórmula do calor fica, portanto: Q = C.ΔT.
Exemplo: Um bloco de 100g de alumínio (c=0,22 cal/g°C) tem capacidade térmica C = 100 * 0,22 = 22 cal/°C. Já um bloco de 200g do mesmo alumínio tem C = 44 cal/°C (o dobro), mas o calor específico do material continua sendo 0,22 cal/g°C.
Outra confusão comum é entre Calor Sensível (envolvendo o calor específico) e Calor Latente. A diferença é fundamental:
Resumindo: Use a fórmula do calor específico quando a questão falar em “aquecer”, “resfriar”, “variação de temperatura”. Use a fórmula do calor latente quando a questão falar em “derreter”, “vaporizar”, “solidificar”, “condensar” sem mudar a temperatura.
A abordagem é contextualizada e interdisciplinar. O calor específico frequentemente aparece:
Abaixo imagem do início da fervura de água que tem calor específico bem mais alto que o metal da panela.

Vamos aplicar os conceitos e fórmulas vistos acima em casos práticos de resolução de questões de ENEM e vestibular.
Na montagem de uma cozinha para um restaurante, a escolha do material correto para as panelas é importante, pois a panela que conduz mais calor é capaz de cozinhar os alimentos mais rapidamente e, com isso, há economia de gás. A taxa de condução do calor depende da condutividade k do material da sua área A, da diferença de temperatura ΔT e da espessura d do material, sendo dada pela relação
![]()
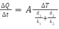
Em panelas com dois materiais, a taxa de condução é dada por

em que d1 e d2 são as espessuras dos dois materiais, e K1 e K2 são as condutividades de cada material. Os materiais mais comuns no mercado para panelas são o alumínio (k = 20 W/m K), o ferro (k = 8 W/m K) e o aço (k = 5 W/m K) combinado com o cobre (k = 40 W/m K).
Compara-se uma panela de ferro, uma de alumínio e uma composta de 1/2 da espessura em cobre e 1/2 da espessura em aço, todas com a mesma espessura total e com a mesma área de fundo.
A ordem crescente da mais econômica para a menos econômica é
A) cobre-aço, alumínio e ferro.
B) alumínio, cobre-aço e ferro
C) cobre-aço, ferro e alumínio
D) alumínio, ferro e cobre-aço
E) ferro, alumínio e cobre-aço
Resolução: Note que em relação à panela de ferro e a de alumínio não precisamos nem realizar cálculos? Por quê? Porque a espessura das panelas e o seu tamanho, a área, portanto é a mesma, o único número que muda é a própria condutividade. Assim, a condutividade do material já revela a mais eficiente. Logo, a de alumínio é melhor que a de ferro.
O problema efetivamente reside na panela de metal composto. Como proposto na questão, a fórmula da panela mista (taxa de condução de calor) é dada por = 1/[ (d1/k1) + (d2/k2)]. Como a espessura de cada material (cobre e aço) será justamente a metade da parede da panela, temos: d1=0,5 e d2=0,5.
Logo: 1[(0,5/40) + (0,5/5)] 🡪 1[0.0125 + 0,1] 🡪 1/0,1125 = 8,88
A condutividade da panela mista de cobre e aço é 8,88, um pouco melhor do que a de ferro que é 8. Assim a alternativa correta é a letra B, pois ordena de forma crescente as panelas da mais econômica à menos econômica.
Atenção! Cuidado para não querer, nesses casos, fazer a média dos materiais. Cobre e ferro [(40+5)/2] que dá 22,5. Um erro! Pois você diria que essa panela é melhor até do que a de alumínio. O cobre é bom condutor, mas o calor tem dificuldade para atravessar o aço. É algo semelhante quando você segura no cabo de uma panela quente. O calor não é uniformemente distribuído, daí não se poder fazer a média.
(Fuvest-SP Adaptada) Um bloco de massa 2,0 kg, feito de um material com calor específico de 0,20 cal/g°C, inicialmente a 60°C, é colocado em contato com 1,0 kg de água, a 20°C. Desprezando perdas e considerando o calor específico da água = 1,0 cal/g°C, qual a temperatura final de equilíbrio térmico?
Resolução:
Passo 1: Entenda. Dois corpos com temperaturas diferentes trocam calor até igualar a temperatura (Tf). O calor que o bloco quente perde (Q_perdido) é igual ao que a água fria ganha (Q_ganho). Q_perdido + Q_ganho = 0.
Passo 2: Padronize unidades. Massa do bloco = 2000 g. Massa da água = 1000 g.
Passo 3: Aplique a fórmula para cada corpo.
Passo 4: Use o princípio: Q_bloco + Q_água = 0.
2000 . 0,20 . (Tf – 60) + 1000 . 1,0 . (Tf – 20) = 0
400 . (Tf – 60) + 1000 . (Tf – 20) = 0
400Tf – 24000 + 1000Tf – 20000 = 0
1400Tf – 44000 = 0
1400Tf = 44000
Tf = 31,43°C
Resposta: A temperatura final de equilíbrio será de aproximadamente 31,4°C.
O principal é ter clareza sobre os conceitos, bem como as fórmulas comumente utilizadas e unidades de medida específicas. Buscar relacionar a teoria com fenômenos do dia a dia. Abaixo um quadro que pode auxiliá-lo em seus estudos.

Dominar a teoria e praticar a resolução de exercícios, portanto, é a chave. Mesmo assim, muitos estudantes se perdem por falta de um método organizado e de um planejamento eficiente que mostre exatamente o que cai em cada prova e como isso é cobrado.
É aqui que um acompanhamento especializado faz toda a diferença. Cursos como os oferecidos pelo Professor Ferretto são projetados exatamente para preencher essa lacuna. A plataforma se destaca por apresentar:
Para você que quer transformar a Física e as Ciências da Natureza em um grande diferencial na sua nota, começar por um material de qualidade é o primeiro passo. O Professor Ferretto disponibiliza um curso gratuito robusto, que já é um excelente ponto de partida para construir sua base.
👉 Quer dominar o Calor Específico e todos os outros tópicos de Física do Enem?
Acesse agora o Curso Gratuito do Professor Ferretto e veja como a preparação pode ser direta e eficiente.
👉 E para uma preparação completa, com planos de estudo, monitorias e todo o suporte para mandar bem no Enem, conheça o ENEM ANATOMY.
O calor específico explica desde fenômenos globais até simples situações do nosso dia a dia. Para o estudante que mira o Enem e os vestibulares, dominar esse tema é necessário para resolver problemas interdisciplinares envolvendo termodinâmica, energia e meio ambiente.
Importante ter presente, portanto, que Calor Específico é quantidade de calor necessária para alterar a temperatura de 1 grama de uma substância em 1 grau Celsius (ou 1 Kelvin).
A partir disso, domine as fórmulas envolvidas para os cálculos necessários. Saiba a diferença entre capacidade térmica e calor específico, e, principalmente, pratique com exercícios de provas reais.
Com organização e o material certo de apoio, você transforma o tema Calor Específico de um desafio a uma oportunidade de brilhar.
Agora é com você: pegue os conceitos deste artigo, associe-os às questões e dê o próximo passo na sua preparação.